冰川物质平衡
PDF冰川物质平衡指一年内冰川积累(通过降雪、冻雨等)与消融(通过融化、蒸发、崩解等)的质量差额。与气候处于平衡状态的冰川,物质平衡长期平均值趋近于零;而与气候处于非平衡状态的冰川,物质平衡值偏离零值的程度越大,则表明偏离平衡状态越远。
1. 如何测量冰川的物质平衡?

冰川在两个时段之间的物质平衡可通过两种方式测量:一是通过累加消融量与积累量(冰川学方法),二是通过测量其体积变化(大地测量学方法)。这两类测量手段具有高度互补性。
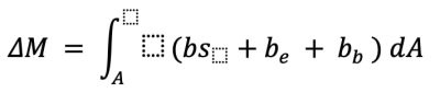
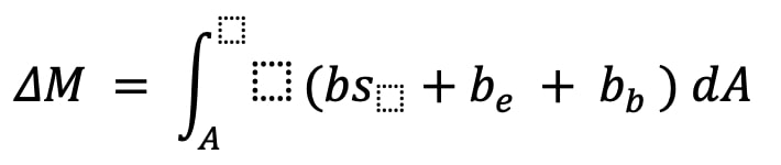
冰川物质平衡是跨越冰川边界的所有物质通量的积分。以千克或立方米水当量(w.e.)表示的物质平衡∆M,其定义如下[36]:
其中A(m²)表示冰川在地图投影平面上的面积,bs、be 和 bb 分别代表冰川表面物质平衡、冰内物质平衡与冰下物质平衡,均以 kg·m⁻² 为单位。对大多数冰川而言,积分中的主导项为表面物质平衡,因此冰川尺度的物质平衡可简化为:

冰川学方法是在尽可能以年或亚年频率直接测量表面物质平衡(bs)。在消融区,通过监测插入冰体的消融桩出露高度来测定物质平衡(图1);在积累区,则通过人工钻取冰芯进行测量(图2)。因此,ΔM 是通过将点测量值外推至整个冰川范围后,经面积加权计算得出的平均值,此外推过程会引入一定不确定性。
大地测量学方法旨在通过重复测量冰川表面地形来测定其总体积变化。最常用的方法是对通过航空摄影测量或卫星地形任务获取的两期数字地形模型(DTMs)进行差分计算。此时,冰川总体积变化(∆V,单位 m³)表达如下:
其中 r² 表示单个像素的面积(单位:m²),K 为冰川区域内的像素总数,∆hₖ(单位:m)代表每个像素的厚度变化。随后需通过设定密度假设将体积变化转换为质量变化,此过程会引入约10%的不确定性。

这两种方法测量的物理量存在差异,因为大地测量法同时包含了冰内物质平衡(be)与冰下物质平衡(bb)。在某些情况下,这两项对冰川尺度物质平衡的贡献不可忽略,可能导致大地测量与冰川学方法得出的物质平衡结果出现偏差。通过冰川学方法测得的冰川尺度物质平衡可能存在系统误差,必须借助大地测量结果进行校准[37]。
2. 以玛拉冰川为例
为具体说明,以位于尼泊尔珠穆朗玛峰以南约30公里处的玛拉冰川为例。玛拉冰川自2007年起持续开展物质平衡监测。图3展示了部署在该冰川上的观测网络:玛拉冰川发源于海拔6500米的同名山峰,延伸至海拔4900米的前沿。
通过两种方式每年两次测定其物质平衡:一是在海拔5600米以下的冰川下部区域,通过均匀分布的消融桩测量出露高度变化;二是在不同海拔高度直至冰川顶部,通过冰芯钻取测量积累量。将各海拔高度消融点或冰芯点的测量结果进行面积加权平均,即得到冰川总物质平衡。2007年至2021年间,玛拉冰川整体处于物质亏损状态,平均每年损失-0.37 ± 0.22米水当量,但年际波动显著。其中2017-2018年度物质平衡达到监测序列中最负值(-0.92 ± 0.16米水当量/年),主要与当年显著降水短缺有关;而另有4个年度冰川出现轻微物质积累,部分年份(如2013年10月13日至15日台风”费林”过境期间)甚至得益于破纪录的降水量[37]。
注释与参考文献
题图:[图片来源:© Bruno Jourdain]
[36] Cuffey, K. M., and Paterson, W. S. B.: The physics of glaciers, Fourth ed. by Academic Press Inc, Amsterdam, 2010
[37] Wagnon P, F Brun, A Khadka, E Berthier, D Shrestha, C Vincent, Y Arnaud, D Six, A Dehecq, M Ménégoz, V Jomelli. Reanalysing the 2007-19 glaciological mass balance series of Mera Glacier (Nepal, Central Himalaya) using geodetic mass balance, J. Glaciol, 67(261), 117-125. https://doi.org/10.1017/jog.2020.88, 2021






